2138CC太阳集团 2138CC太阳集团

MBA招生

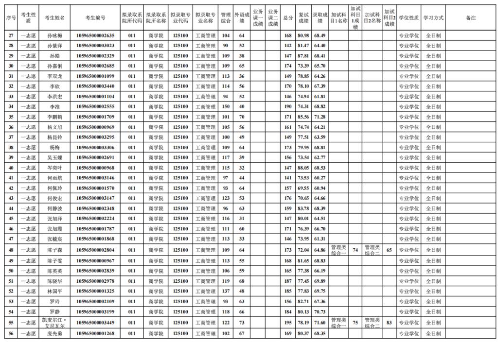
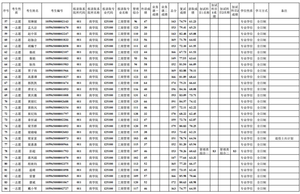
桂林理工大学工商管理专业(MBA)2025年硕士研究生一志愿拟录取名单公示(全日制)

来源: 时间:2025-03-25 作者: 编辑:吕卉 点击:

根据相关文件精神和工作要求,我中心已完成2025年硕士研究生第一批全日制(一志愿考生)复试工作,现将拟录取考生予以公示。

若对公示名单有异议,请于公示之日起日内具实名向中心反映。

联系电话:0773-5893657(MBA教育中心)。


桂林理工大学MBA教育中心

2025325

(一审:李珺;二审:吕卉;三审:李雷)


2138CC太阳集团

屏风校区

地址:桂林市七星区建干路12号

邮编:541004    

电话:0773-5892982

邮箱:sxy@glut.edu.com 

雁山校区

地址:桂林市雁山区雁山街319号

邮编:541006    

版权所有:中国·2138cn太阳集团(SunCity·VIP认证)官方网站-Official website

      


Baidu
sogou