2138CC太阳集团 2138CC太阳集团

MBA招生

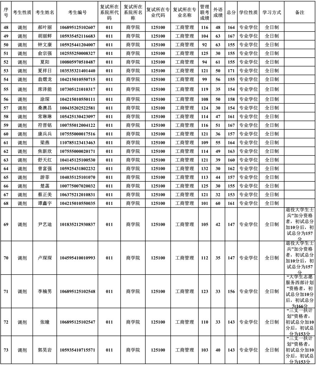
桂林理工大学2025年工商管理专业(MBA)调剂考生复试名单公示

来源: 时间:2025-04-08 作者: 编辑: 点击:

MBA全日制调剂考生复试名单(按考生姓氏笔画排序)

662DF

MBA非全日制调剂考生复试名单(按考生姓氏笔画排序)


(一审:李珺;二审:吕卉;三审:李雷)

2138CC太阳集团

屏风校区

地址:桂林市七星区建干路12号

邮编:541004    

电话:0773-5892982

邮箱:sxy@glut.edu.com 

雁山校区

地址:桂林市雁山区雁山街319号

邮编:541006    

版权所有:中国·2138cn太阳集团(SunCity·VIP认证)官方网站-Official website

      


Baidu
sogou